40 molecular mass and percent composition worksheet answer key

Chemistry I Worksheet Formula Mass, Percent Composition, and Empirical and Molecular Formulas INSTRUCTIONS: Work the following problems. Use your Periodic Table, Yellow CardTM, and calculator— along with your book and notebook —to help you. The only resource you may not use is each other. ALL Calculate the formula mass of acetic acid, CH3COOH.

Percentage Composition And Empirical Molecular Formula Worksheet For 10th 12th Grade Lesson Planet from content.lessonplanet.com A compound that has an empirical formula of no2 and a molar mass of 92.02 g/mol. Empirical and molecular formula worksheet answer key write the empirical formula for the following compounds. _____ chem b odds for hw ...

September 19, 2021 on Percentage Composition And Empirical And Molecular Formula Worksheet Answer Key. 12 Full PDFs related to this paper. Instruction is provided in finding the composition using several different representations of functions inputoutput tables graphs and function rules.

Molecular mass and percent composition worksheet answer key

Molecular mass and percent composition worksheet answer key

Ionic Bonds Worksheets Answer Key Chemistry Worksheets Naming Chemical Compounds Worksheet Ionic Compound 7 a compoundwith an empirical formula of c4h4o and a molar mass of136 grams per mole. Molecular formula worksheet answers . 2 a compound with an empirical formula of c4h4o and a molar mass of 136 grams per mole.

Find the formula mass of the following compounds. Round atomic masses to the tenth of a decimal place. Place your final answer in the FORMULA MASS COLUMN. CHEMISTRY COMPUTING FORMULA MASS WORKSHEET Problem Set-up example: Find the formula mass of Ca(NO3)2 Ca: 1 x 40.1 = 40.1 N: 2 x 14.0 = 28.0 O: 6 x 16.0 = 96.0 ____

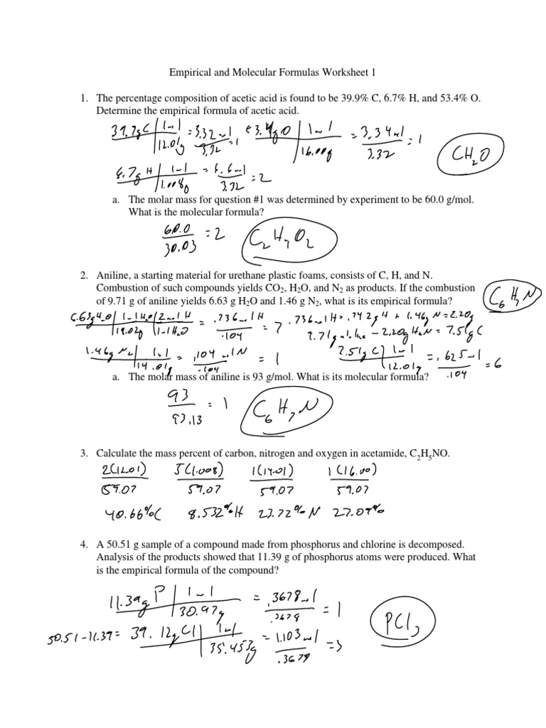
Nov 26, 2021 · Percent composition indicates the relative amounts of each element in a compound. Use percentage composition and. Percent composition by mass worksheet show all work including the correct units and sig figs with your. It is defined as follows. Percent composition by mass. The percentage composition of acetic acid is found to be 39 9 c 6 7 h and 53 4 o.

Molecular mass and percent composition worksheet answer key.

4O and a molar mass of 136 grams per mole. 7. A compound with an empirical formula of CFBrO and a molar mass of 254.7 grams per mole. 8. A compound with an empirical formula of C 2H 8N and a molar mass of 46 grams per mole. Answer the following questions: 9. The percentage composition of acetic acid is found to be 39.9% C, 6.7% H, and 53.4% O ...

Determine the molecular formula for each compound whose percentage composition is shown below. 6. 84.9% Hg and the remainder Cl, with a molecular weight of 472.2 g/mol. 7. 12.26% N, 3.54% H, 28.1% S, and 56.1% O. The molecular weight is 228.2 g/mol. The formula is known to contain the NH 4 + grouping. Write your formula accordingly. 8.

Percent Composition and Molecular Formula Worksheet Key. Write the molecular formulas of the following compounds: A compound with an empirical formula of C2OH4 and a molar mass of 88 grams per mole. C4O2H8. A compound with an empirical formula of C4H4O and a molar mass of 136 grams per mole. C8H8O

Percent composition worksheet 1 answer key with work Moles Balanced chemical equations Molar ratios Mass Composition Empirical and Molecular Mass Predicting Quantities Equations Micro World atoms & molecules Macro World grams Atomic mass is the mass of an More information Introduction Chapter 5 Chemical Reactions and Equations Chemical reactions occur all around us.

Percent composition and molecular formula worksheet the percent composition is used to describe the percentage of each element in a compound. The percent composition can be found by dividing the mass of each component by total mass. 7d percentage position ws google docs from percent composition worksheet answer key with work source. Percent ...

Composition Of Functions Worksheet Answer Key. Mass of Samplex 100 Percent Composition. C 3495 H 6844 O 4656 N 1359 Percent Composition and Molecular Formula Worksheet Key. Show your work and always include units where needed. 7155 2 NaOH Sodium Hydroxide Na. 223354 grams Percent Composition Worksheet gæmsjmoje.

Oct 30, 2021 · Percent composition and molecular formula worksheet answers. Revised annually the latest version contains employment projections for the 2019-29 decade. Take the molar mass of the molecular formula given in the problem and divide it by the molar mass of the empirical formula. Printable Metals Nonmetals and Metalloids Worksheet.

Percentage composition worksheet chemistry. C 3495 H 6844 O 4656 N 1359 Percent Composition and Molecular Formula Worksheet Key. Percent Composition Worksheet Calculate the molar mass and find the percent compositions. Mollie Schoeppner Percentage Composition Worksheet Date. However there are yet many people who with dont in the same way as ...

Video Tutorial--Molecular Formulas by Ms. E. Determining molecular formula worksheet. KEY for Molecular (True) Formulas Worksheet. KEY for Formula Mass, Percent Compostion, & Mole Conversion Worksheet (posted Thursday, Jan. 19) Mole Study Guide--Chapter 10. Unit9RevWkANS. Unit9ReviewProbs. Empirical Formula Lab Data 2014. Hydrate Lab Student ...

For each element the mass percent formula is. 1 ammonium sulfite n 24 1 h 6 9 s 27 6 o 41 3 2 aluminum acetate al 13 2 c 35 3 h 4 4 o 47 1. Another way to specify an amount is percentage composition by mass or mass percentage m m. Answer the following questions. Percentage composition worksheet answer key give the composition of all elements in ...

The percentage composition is 4770 Sr and 1746 S. Thats why we have entry tests for all applicants who want to work for us. Empirical formula molecular formula of a compoundmolecule Notes examples near top of page. For a solution mass percent equals the mass of an element in one mole of the compound divided by the molar mass of the compound ...

August 26, 2021 on Molecular Mass Worksheet Answer Key. Worksheet Designed To Help Teach Reinforce The Concept Of Determining Percent Composition Of Molecules Teaching Chemistry How To Memorize Things Chemistry Help. Mole Mass And Particle Conversion Worksheet Executive Summary Template Mole Conversion Worksheet Literal Equations.

Mole 7 worksheet

Mole 7 worksheet

EMPIRICAL AND MOLECULAR FORMULA WORKSHEET 1. An oxide of chromium is found to have the following % composition: 68.4 % Cr and 31.6 % O. Determine this compound's empirical fomula. I $15 CX2Ô3 2. The percent composition of a compound was found to be 63.5 % silver, 8.2 % nitrogen, and 28.3 % oxygen. Determine the compound's empirical formula. 3.

Percent Composition by Mass Lesson Plans & Worksheets

Percent composition by mass lesson plans & worksheets

Mass percent worksheet with answers kids percent by mass. Percentage composition by mass worksheet answers. Compounds yields co2 h2o and n2 as products. This worked example chemistry problem works through the steps to calculate percent composition by mass. Percentage composition worksheet answer key give the composition of all elements in these ...

Percent Composition Lesson Plans & Worksheets Reviewed by ...

Percent composition lesson plans & worksheets reviewed by ...

The molecular formula tells us the actual composition of the molecules, while the empirical formula gives us only the smallest whole-number ratio. 3. False. Counterexamples will vary, but water works nicely. The formula for water is H2O, but the percent by mass of hydrogen in water is 11.2%. percent by mass hydrogen in water = = 11.2%

Untitled

Untitled

Percent Composition and Molecular Formula Worksheet Key 1. What's the empirical formula of a molecule containing 65.5% carbon, 5.5% hydrogen, and 29.0% oxygen? C 3 H 3 O mass = 55 g/mole 2. If the molar mass of the compound in problem 1 is 110 grams/mole, what's the molecular formula? C 6 H 6 O 2 3.

Percent Composition, Empirical Formulas, & Molecular Formulas Worksheet

Percent composition, empirical formulas, & molecular formulas worksheet

Worksheet 11.1 KEY Molar Mass Calculations A mole is a standard unit of measurement for amount of a substance. For an element, one mole is equivalent to the mass of that element as it is listed on the periodic table, and thus represents its molar mass. For a compound, one must take the sum of all elements in the compound with

Solved Name Perint Date: Score Empirical/Molecular Formula ...

Solved name perint date: score empirical/molecular formula ...

May 29, 2021 · Mass of MgO crucible and lid 27099 27. Empirical and Molecular Formula Worksheet ANSWER KEY. Mass of Mg metal crucible and lid. They require beginning chemists to calculate the percent composition as well as determine empirical and molecular formulas for a variety of compounds. Mass percent composition is also known percent by weight.

Empirical and Molecular Formulas

Empirical and molecular formulas

Learn about Chemistry its branches and the key concepts covered under the subject at the K-12 level. Percentage composition and empirical and molecular formula worksheet answer key. Analytical Chemistry Douglas A. 1216 of exam score. The chief compound in the mineral celestine consists of strontium sulphur and oxygen.

Chapter 8 Empirical and Molecular Formulas Worksheet 1 Key ...

Chapter 8 empirical and molecular formulas worksheet 1 key ...

View and compare percent composition worksheet answer key with work on yahoo finance. Discover learning games guided lessons and other interactive activities for children. 696 5 KMnO 4. To percent composition worksheet answers up molecular weights 35 you will need a periodic table to look up molecular weights all in. 26 red x 100 13.

Percent Composition and Molecular Formula Worksheet Key ...

Percent composition and molecular formula worksheet key ...

A compound has a molar mass of 100 gmol and the percent composition by mass of 6545 C 545 H and 2909 O. Percentage Composition And Empirical And Molecular Formula Worksheet Answer Key. If the molar mass of the compound in problem 1 is 110 gramsmole whats the molecular formula.

Percent Composition, Hydrates, Empirical and Molecular ...

Percent composition, hydrates, empirical and molecular ...

Dec 22, 2021 · Youtube Molecular Formula Composition. New Simplified Chemistry Class 9 Icse Solutions The Language Of Chemistry 23 Https Www Aplustopper C Chemistry Class Chemistry Education Study Chemistry. In molar mass and percent composition practice worksheet answers, molar mass and percent composition worksheet answers, molar mass and percentage ...

Percent Composition and Molecular Formula Worksheet

Percent composition and molecular formula worksheet

% Composition, Empirical Formula and Molecular Formula Worksheet. A sample of an unknown compound with a mass of 0.847 g has the following composition: 50.51 % fluorine and 49.49 % iron. When this compound is decomposed into its elements, what mass of each element would be recovered? F = 0.4278g. Fe = 0.4192g

Percent Composition And Molecular Formula Worksheet Key ...

Percent composition and molecular formula worksheet key ...

A component of protein called serine has an approximate molar mass of 100 g/mole. If the percent composition is as follows, what is the empirical and molecular formula of serine? C = 34.95 % H= 6.844 % O = 46.56 % N= 13.59 % Percent Composition and Molecular Formula Worksheet Key

Molar Mass and Percent Composition - Key - Molar Mass and ...

Molar mass and percent composition - key - molar mass and ...

Percent Composition Worksheet Answer Key with Work Mychaume ...

Percent composition worksheet answer key with work mychaume ...

percent_composition_worksheet.pdf - Name Date Percent ...

Percent_composition_worksheet.pdf - name date percent ...

4.3: Empirical and Molecular Formulas (Problems) - Chemistry ...

4.3: empirical and molecular formulas (problems) - chemistry ...

Percent Composition and Molecular Formula Worksheet

Percent composition and molecular formula worksheet

Untitled

Untitled

Percent Composition Worksheet

Percent composition worksheet

Molar Mass Worksheet Answer Key - PDF Free Download

Molar mass worksheet answer key - pdf free download

Moles, Molecules, and Grams Worksheet Answer Key - PDF Free ...

Moles, molecules, and grams worksheet answer key - pdf free ...

Comp empirical and molecular worksheet -answer key - ENGL4870 ...

Comp empirical and molecular worksheet -answer key - engl4870 ...

Percent Composition Key for 1

Percent composition key for 1

PDF empirical formulas exercises Formulas PDF | PDFprof.com

Pdf empirical formulas exercises formulas pdf | pdfprof.com

Worksheet-Mole Calculations

Worksheet-mole calculations

Untitled

Untitled

Percent Composition and Molecular Formula Worksheet Key ...

Percent composition and molecular formula worksheet key ...

Percent Composition and Molecular Formula Worksheet

Percent composition and molecular formula worksheet

Determining Percent Composition from Molecular Formula Worksheet

Determining percent composition from molecular formula worksheet

Molar Mass Percent key.doc - Name Hour Date Chemistry Molar ...

Molar mass percent key.doc - name hour date chemistry molar ...

Percent Composition and Molecular Formula Worksheet - PDF ...

Percent composition and molecular formula worksheet - pdf ...

Chem215-Engelhardt: KEY for Formula Mass, Percent Compostion ...

Chem215-engelhardt: key for formula mass, percent compostion ...

Molar Mass Calculations and % Composition Practice #1 Answer ...

Molar mass calculations and % composition practice #1 answer ...

4.3: Empirical and Molecular Formulas (Problems) - Chemistry ...

4.3: empirical and molecular formulas (problems) - chemistry ...

Empirical and Molecular Formula and Molecular Formula ...

Empirical and molecular formula and molecular formula ...

Molar Mass and Percent Composition HW

Molar mass and percent composition hw

Percent Composition and Molecular Formula Worksheet Key

Percent composition and molecular formula worksheet key

Untitled

Untitled

Percent Composition

Percent composition

0 Response to "40 molecular mass and percent composition worksheet answer key"

Post a Comment

Iklan Atas Artikel

Iklan Tengah Artikel 1

Iklan Tengah Artikel 2

Iklan Bawah Artikel