39 answering the three economic questions worksheet key

Economics Worksheet: Three Economic Questions with answer key and ... This worksheet is used after teaching the three economic questions and economic goals section of the unit 2 Economic Systems notes. This is the first homework assignment I give in Unit 1. ... Worksheet; Answer Key; This resource can be used in a flipped classroom or for virtual learning / distant learning/ e-learning. In my room, I typically ... PDF Brent mcbride - HOME Landing Each society answers the three basic economic questions based on ae its unique combination of values and goals. b. the number of factor payments. c. its degree of economic growth. d. the desire to achieve economic freedom. 8. To improve its standard of living, a nation's economy must ao remain stable. bo grow through innovation. c.

Answering The Three Economic Questions Worksheet All groups and messages ... ...

Answering the three economic questions worksheet key

Answering the three economic questions worksheet key

PPT Chandler Unified School District / Home Page Chandler Unified School District / Home Page The 3 Key Economic Questions.doc - Google Docs Because of scarcity, every nation is faced with "The 3 Key Economic Questions: Who - consumes the goods & services produced in society? "For whom?" is a public choice question. All economic... Publication 969 (2021), Health Savings Accounts and Other Tax ... IRS.gov/Help: A variety of tools to help you get answers to some of the most common tax questions. IRS.gov/ITA: The Interactive Tax Assistant, a tool that will ask you questions and, based on your input, provide answers on a number of tax law topics. IRS.gov/Forms: Find forms, instructions, and publications. You will find details on 2021 tax ...

Answering the three economic questions worksheet key. answering the three economic questions Flashcards | Quizlet three economic questions answered what goods and services should be produced? how should these goods and services be produced? who consumes these goods are services economic concept necessitating choices and priorities in any society. scarcity - resources are limited. economic question answered by basic social values and goals? Course Help Online - Have your academic paper written by a ... Professional academic writers. Our global writing staff includes experienced ENL & ESL academic writers in a variety of disciplines. This lets us find the most appropriate writer for any type of assignment. Economics Questions and Answers | Homework.Study.com Economics is the study of: A) how to invest in the stock market. B) how society uses limited resources. C) the role of money in markets. D) how government officials decide which goods and servic... Economics is primarily the study of: A. the state, nation, government, and politics and policies of governments. Answer Key Economic 2 Systems Chapter Worksheet Three economic questions answered: (a) (b) (c) 2 2 Population Growth and Economic Development; 33 All worksheets come with an answer key placed on the 2nd page of the file giga G 1,000,000,000 or 109 centi c 0 sslc-it-chapter-2-publishing-practical questions and supporting files, practical record worksheet പത്à´¤ാം à´•്à´²ാà´¸് ...

Economics Chapter 3 Demand Worksheet Answers choices concerning what goods and services to produce are choices about an economy's use of its factors of production, the resources available to it for the production of goods and services.the value, or satisfaction, that people derive from the goods and services they consume and the activities they pursue is called utility.ultimately, then, an … types of economic systems worksheet answer key economic systems chart characteristics roberg teacherspayteachers 34 Answering The Three Economic Questions Worksheet Key - Worksheet starless-suite.blogspot.com economies answering resource helper homework Comparing Economic Systems Worksheet - Worksheet novenalunasolitaria.blogspot.com jacksonian jeffersonian 12th What are the 3 Economic Questions in Economics? + Examples - Emozzy What are the 3 economic questions? 1. What should we produce? Given the limited occupational resources, raw materials and time available, economic operators must determine what to produce. Food and shelter are the two most important needs of life in most primitive economies. types of economic systems worksheet answer key pdf - Las Palmas Economic systems can be categorized into four main types: traditional economies, command economies, mixed economies, and market economies. Based on the information you gathered about economic systems this unit, complete the chart by answering the questions about the different types of economic systems. 0000267716 00000 n 0000002315 00000 n 2.

PDF Three Key Economic questions and Three types of Economies Economic predictability Economic equity Fair distribution of wealth Societies pursue additional goals, such as environmental protection. Other Goals A safety net is provided for individuals --like welfare. Economic Security Innovation leads to economic growth, and economic growth leads to a higher standard of living. Economic growth and innovation DOC Section 1: Answering the 3 Economic Questions - WPMU DEV 3 economic questions answered based on importance attached to various economic goals. Economic Efficiency- providing the goods and services that will be most used Economic Freedom - the amount of control the government has over individuals Economic Security & Predictability PDF Brent mcbride - HOME Landing (a) How do the populations of the two countries compare? (b) How does their economic output compare? 2. (a) What percentage of national output is produced by private firms in each economy? (b) Which economy do you think is more productive? Why? 3, (a) How would you describe benefits the government provides to people in Sweden? Economic Systems Worksheet Answer Key - financez.info Economic Systems Key.doc - ANSWER KEY ECONOMY … Finance (5 days ago) View Economic Systems Key.doc from SOCIAL STUDIES. 42095X0C at Anson High. ANSWER KEY ECONOMY COMPARISON CHART Directions: Locate information about how each economic system answers the 3 basic.

Concept 9: Economic Systems | Georgia Public Broadcasting

Concept 9: Economic Systems | Georgia Public Broadcasting

SurveyMonkey: The World’s Most Popular Free Online Survey Tool Use SurveyMonkey to drive your business forward by using our free online survey tool to capture the voices and opinions of the people who matter most to you.

UNIT 1: Basic Economic Concepts

UNIT 1: Basic Economic Concepts

AIP Handbook - Federal Aviation Administration (2) APP-400 is available to answer questions regarding which elements in these plans are justified and how often the plans must be updated. (3) Table E-1 contains a list of stand-alone planning projects. The specific stand-alone projects that can be conducted on a state system planning level are noted.

Interleaved practice enhances memory and problem-solving ...

Interleaved practice enhances memory and problem-solving ...

types of economic systems worksheet answer key Answering The Three Economic Questions Worksheet Key - Worksheet List nofisunthi.blogspot.com. answering. Chapter 2 Economic Systems Worksheet Answers - Nidecmege ... Economic Systems Worksheet Answer Key Together With National Economy . Economic Systems Worksheet 2015-2016 studylib.net.

Chapter 2: Economic Systems Section 1 - ppt video online download

Chapter 2: Economic Systems Section 1 - ppt video online download

Three Economic Questions: What, How, For Whom? A market (also called capitalist) economy is one in which answers to the three basic questions are the cumulative result of many individual decisions about what to buy and what to sell in the public marketplace. Buyers express their preference for certain goods and services, thereby influencing what is produced.

Economics Worksheet: Three Economic Questions with answer key and google doc

Economics Worksheet: Three Economic Questions with answer key and google doc

Answering The Three Economic Questions - slideshare.net Answering the Three Economic Questions 2. Everything is scarce and an economic system tries to distribute scarce stuff (goods and services) to accommodate all those unlimited wants.In order to decide how to do this, three questions must be asked and answered.Three economic questions? 3. Good question about the questions.

Ch. 2 Guided Reading and Review - Analy High School Staff

Ch. 2 Guided Reading and Review - Analy High School Staff

Achiever Papers - We help students improve their academic ... Professional academic writers. Our global writing staff includes experienced ENL & ESL academic writers in a variety of disciplines. This lets us find the most appropriate writer for any type of assignment.

Concept 9: Economic Systems | Georgia Public Broadcasting

Concept 9: Economic Systems | Georgia Public Broadcasting

Answering The Three Economic Questions Worksheet - Google Groups All groups and messages ... ...

Unit 7: What is Economics? Word Search - WordMint

Unit 7: What is Economics? Word Search - WordMint

3 Key Economic Questions Worksheet.docx - 3 Key Economic... View 3 Key Economic Questions Worksheet.docx from ENVIRONMENTAL 101565 at Seminole High School, Sanford. 3 Key Economic Questions Grid For each scenario below, match it up with which of the 3 key Study Resources

Chapter 2 Packet - Helping Times

Chapter 2 Packet - Helping Times

Success Essays - Assisting students with assignments online Each paper writer passes a series of grammar and vocabulary tests before joining our team.

Examination questions and answer notes

Examination questions and answer notes

Economics Chapter 3 Worksheet Answers - myilibrary.org Economics Chapter 3 Worksheet Answers | NEW. 2853 kb/s. 1291. Economics Chapter 3 Worksheet Answers [Most popular] 2569 kb/s. 9732. Economics Chapter 3 Worksheet Answers. 3396 kb/s. 3351.

Economic Systems and Scarcity - Lake Central High School

Economic Systems and Scarcity - Lake Central High School

Three Economic Questions Teaching Resources | Teachers Pay Teachers Three Basic Economic Questions (Student Worksheets and Teacher Answer Keys) by Success in 6th $1.75 PDF Activity Hello Fellow Teachers,This downloadable PDF includes a student resource sheet, student worksheets, and teacher answer keys on the topic of the three basic economic questions.

Basic Economics (Three Basic Economic Questions): VA Civics & Economics CE.  11b

Basic Economics (Three Basic Economic Questions): VA Civics & Economics CE. 11b

May 2021 National Occupational Employment and Wage Estimates Mar 31, 2022 · The .gov means it's official. Federal government websites often end in .gov or .mil. Before sharing sensitive information, make sure you're on a federal government site.

Chapter 2 Section 1 Answering the Three Economic Questions ...

Chapter 2 Section 1 Answering the Three Economic Questions ...

2.1 The three basic economic questions Flashcards | Quizlet set of programs to protect people who face unfavorable economic conditions (layoffs, natural disasters) standard of living level of economic prosperity traditional economy relies on habit, custom, or ritual to answer the three basic economic questions innovation process of bringing new methods, products, or ideas into use

Economic Systems - Intelligent Economist

Economic Systems - Intelligent Economist

Key Economic Questions Lesson Plan, Society Goods and Services ... In economics there 3 questions that all societies must answer: What goods and services should be produced? How should goods and services be produced? Who gets to consume the goods and services? Each society answers these questions in a different way based upon the resources available. Resources are Land, Labor, and Capital

Chapter 2 Section 1 economics

Chapter 2 Section 1 economics

Publication 969 (2021), Health Savings Accounts and Other Tax ... IRS.gov/Help: A variety of tools to help you get answers to some of the most common tax questions. IRS.gov/ITA: The Interactive Tax Assistant, a tool that will ask you questions and, based on your input, provide answers on a number of tax law topics. IRS.gov/Forms: Find forms, instructions, and publications. You will find details on 2021 tax ...

Chapter 2 Economics Answer Key Reading Guide - Economic ...

Chapter 2 Economics Answer Key Reading Guide - Economic ...

The 3 Key Economic Questions.doc - Google Docs Because of scarcity, every nation is faced with "The 3 Key Economic Questions: Who - consumes the goods & services produced in society? "For whom?" is a public choice question. All economic...

Examination questions and answer notes

Examination questions and answer notes

PPT Chandler Unified School District / Home Page Chandler Unified School District / Home Page

Guided Reading Activity: Foundations of Government

Guided Reading Activity: Foundations of Government

Economics-3 Basic Economic Questions Handout/Poster

Economics-3 Basic Economic Questions Handout/Poster

Chapter 2-- The Market Economy

Chapter 2-- The Market Economy

Basic Economics Lesson Plans, Teaching Finance Principles 101 ...

Basic Economics Lesson Plans, Teaching Finance Principles 101 ...

5.01 POB Three key economic questions Who What How guided ...

5.01 POB Three key economic questions Who What How guided ...

Types of Goods and the 3 Basic Economic Questions

Types of Goods and the 3 Basic Economic Questions

Economics Homework Help & Answers - Studypool

Economics Homework Help & Answers - Studypool

Untitled

Untitled

Three Key Economic questions and Three types of Economies

Three Key Economic questions and Three types of Economies

Economics Quiz Questions and Answers: Introduction to Macroeconomics Quiz

Economics Quiz Questions and Answers: Introduction to Macroeconomics Quiz

Ch. 2.1 Answering the Three Economic Questions

Ch. 2.1 Answering the Three Economic Questions

Chapter 2SectionMain Menu Answering the Three Economic ...

Chapter 2SectionMain Menu Answering the Three Economic ...

Answering the Three Economic Questions

Answering the Three Economic Questions

Answering the Three Economic Questions - ppt download

Answering the Three Economic Questions - ppt download

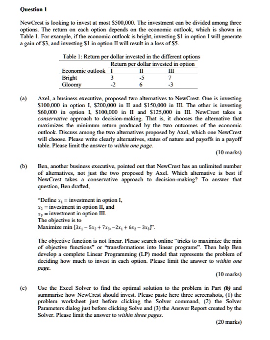
SOLVED: Question Ne#CrnSl looking invesm mnosi SS00.000. The ...

SOLVED: Question Ne#CrnSl looking invesm mnosi SS00.000. The ...

Econ Exam 1 Study Sheet - Exam 1 Exam 1 consists of 36 ...

Econ Exam 1 Study Sheet - Exam 1 Exam 1 consists of 36 ...

Name Date ______ Economics Per. ______ Chapter 2 Review ...

Name Date ______ Economics Per. ______ Chapter 2 Review ...

The Three Questions of Economics | PBS LearningMedia

The Three Questions of Economics | PBS LearningMedia

Chapter 2 Packet - Helping Times

Chapter 2 Packet - Helping Times

CH 2 SG | PDF

CH 2 SG | PDF

The Three Economic Questions Addressed | Outlier

The Three Economic Questions Addressed | Outlier

Market Economy vs. Command Economy: What's the Difference?

Market Economy vs. Command Economy: What's the Difference?

0 Response to "39 answering the three economic questions worksheet key"

Post a Comment

Iklan Atas Artikel

Iklan Tengah Artikel 1

Iklan Tengah Artikel 2

Iklan Bawah Artikel