40 chapter 8 budgets and financial records worksheet answers

Publications Centre Publications Centre Chapter 718 - 2021 Florida Statutes - The Florida Senate (c)1. The official records of the association are open to inspection by any association member or the authorized representative of such member at all reasonable times. The right to inspect the records includes the right to make or obtain copies, at the reasonable expense, if any, of the member or authorized representative of such member.

U.S. Bureau of Labor Statistics Saratoga, NY, has largest county 2nd quarter 2022 over-the-year wage gain at 16.3% From second quarter 2021 to second quarter 2022, Saratoga, NY, had the largest county percentage increase in average weekly wages at 16.3 percent.

Chapter 8 budgets and financial records worksheet answers

Chapter 8 budgets and financial records worksheet answers

Home : Occupational Outlook Handbook: : U.S. Bureau of Labor Statistics Sep 08, 2022 · The Occupational Outlook Handbook is the government's premier source of career guidance featuring hundreds of occupations—such as carpenters, teachers, and veterinarians. Revised annually, the latest version contains employment projections for … Chapter 02 - Using Financial Statements and Budgets 7) Dan Young has prepared his annual financial statements in order to analyze the data. The data provided are items from Dan's balance sheet and income and expense statement. Use the data provided to calculate Dan's financial statement ratios. Enter your answers as percentages rounded to two decimal places. Statutes & Constitution :View Statutes : Online Sunshine (14) “Conspicuous type” means bold type in capital letters no smaller than the largest type, exclusive of headings, on the page on which it appears and, in all cases, at least 10-point type. Where conspicuous type is required, it must be separated on all sides from other type and print. Conspicuous type may be used in a contract for purchase and sale of a unit, a lease of a unit …

Chapter 8 budgets and financial records worksheet answers. Lifestyle | Daily Life | News | The Sydney Morning Herald The latest Lifestyle | Daily Life news, tips, opinion and advice from The Sydney Morning Herald covering life and relationships, beauty, fashion, health & wellbeing Teaching Tools | Resources for Teachers from Scholastic The Best Chapter Books for Kids Under $10. Grades 3 - 12. Raise Classroom Funds | ClassroomsCount | Scholastic. Build Your Classroom Library on a Budget. Book List. Best-Selling Books Under $5 for Grades PreK-2. Grades PreK - 2. Book List. Best-Selling Books Under $5 for Grades 3–5. Grades 3 - 5. Microsoft takes the gloves off as it battles Sony for its Activision ... Oct 12, 2022 · Microsoft pleaded for its deal on the day of the Phase 2 decision last month, but now the gloves are well and truly off. Microsoft describes the CMA’s concerns as “misplaced” and says that ... PlayStation userbase "significantly larger" than Xbox even if … Oct 12, 2022 · Microsoft has responded to a list of concerns regarding its ongoing $68bn attempt to buy Activision Blizzard, as raised by the UK's Competition and Markets Authority (CMA), and come up with an ...

Statutes & Constitution :View Statutes : Online Sunshine (14) “Conspicuous type” means bold type in capital letters no smaller than the largest type, exclusive of headings, on the page on which it appears and, in all cases, at least 10-point type. Where conspicuous type is required, it must be separated on all sides from other type and print. Conspicuous type may be used in a contract for purchase and sale of a unit, a lease of a unit … Chapter 02 - Using Financial Statements and Budgets 7) Dan Young has prepared his annual financial statements in order to analyze the data. The data provided are items from Dan's balance sheet and income and expense statement. Use the data provided to calculate Dan's financial statement ratios. Enter your answers as percentages rounded to two decimal places. Home : Occupational Outlook Handbook: : U.S. Bureau of Labor Statistics Sep 08, 2022 · The Occupational Outlook Handbook is the government's premier source of career guidance featuring hundreds of occupations—such as carpenters, teachers, and veterinarians. Revised annually, the latest version contains employment projections for …

Balance sheet and income statement relationship (video ...

Balance sheet and income statement relationship (video ...

CASE STUDY: CREATING A BALANCED BUDGET FOR MANAGEMENT | Chegg.com

CASE STUDY: CREATING A BALANCED BUDGET FOR MANAGEMENT | Chegg.com

How To Set Financial Goals: 6 Simple Steps

How To Set Financial Goals: 6 Simple Steps

Ch8 Personal finance - Chapter 8 Budgets and Financial ...

Ch8 Personal finance - Chapter 8 Budgets and Financial ...

Chapter 43. Managing Finances | Section 1. Planning and ...

Chapter 43. Managing Finances | Section 1. Planning and ...

Chapter 8 Budgets and Financial Records - ppt download

Chapter 8 Budgets and Financial Records - ppt download

Chapter 8- Translation of Foreign Currency Financial ...

Chapter 8- Translation of Foreign Currency Financial ...

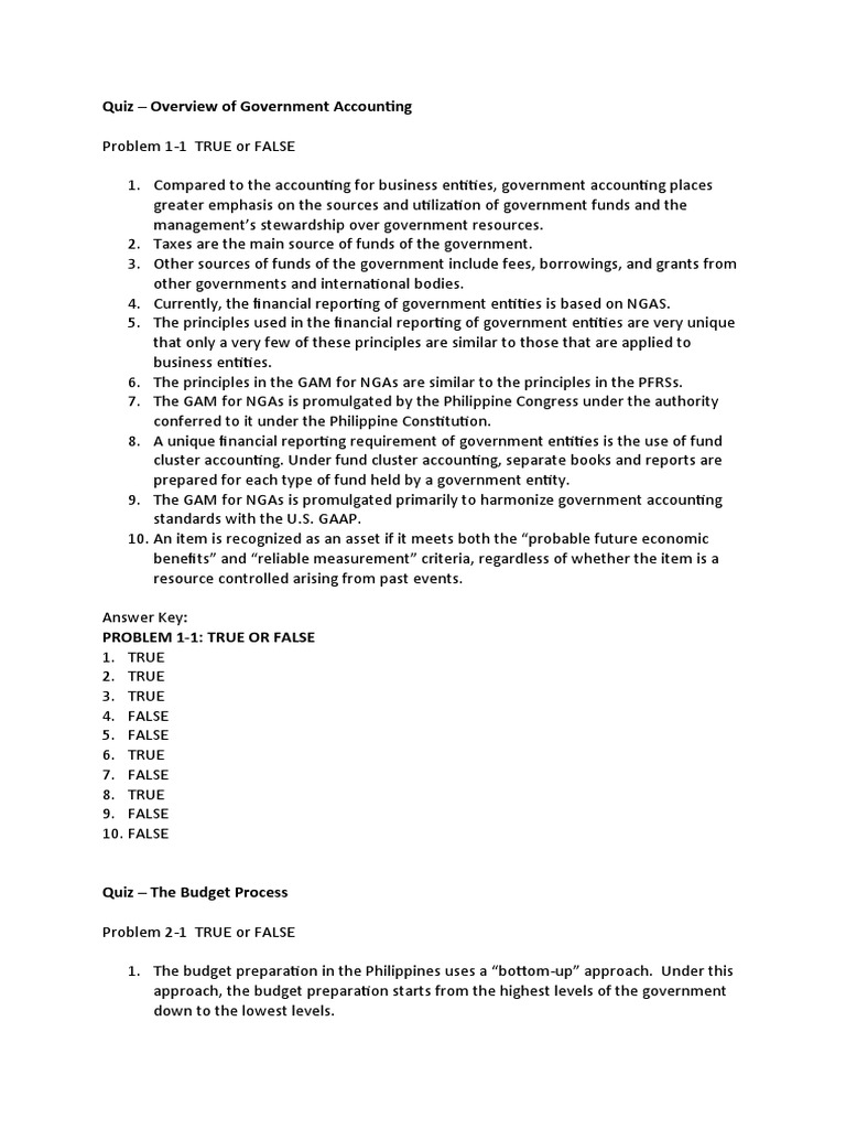
Quiz - Overview of Government Accounting | PDF | Budget ...

Quiz - Overview of Government Accounting | PDF | Budget ...

Quiz & Worksheet - Personal Financial Records | Study.com

Quiz & Worksheet - Personal Financial Records | Study.com

Chapter 1- introduction worksheet

Chapter 1- introduction worksheet

Integrated Resource And Budget Planning At Colleges And ...

Integrated Resource And Budget Planning At Colleges And ...

Ch 2 Assignment - Assignment: Chapter 02 Using Financial ...

Ch 2 Assignment - Assignment: Chapter 02 Using Financial ...

Complete Guide to 2022 Artist Grants & Opportunities ...

Complete Guide to 2022 Artist Grants & Opportunities ...

Factoring in the time value of money with Excel - Journal of ...

Factoring in the time value of money with Excel - Journal of ...

Preparing financial projections and monitoring results ...

Preparing financial projections and monitoring results ...

ESSD - Global Carbon Budget 2018

ESSD - Global Carbon Budget 2018

CASE STUDY: CREATING A BALANCED BUDGET FOR MANAGEMENT | Chegg.com

CASE STUDY: CREATING A BALANCED BUDGET FOR MANAGEMENT | Chegg.com

Copy_of_Assets_or_Liabilities - Name: Lisa Miller ...

Copy_of_Assets_or_Liabilities - Name: Lisa Miller ...

PDF) Solutions Chapter 1-20 | Lee lee - Academia.edu

PDF) Solutions Chapter 1-20 | Lee lee - Academia.edu

Chapter 2: Economic assessment and risk management ...

Chapter 2: Economic assessment and risk management ...

Template for Estimating State Aid | ESC Region 13

Template for Estimating State Aid | ESC Region 13

LifeMap Project PDF - Faculty Website Index Valencia College

LifeMap Project PDF - Faculty Website Index Valencia College

1 PERSONAL ~HlMANAGEMENT

1 PERSONAL ~HlMANAGEMENT

chapter 8 budgets and financial records LeAnne Adams.doc ...

chapter 8 budgets and financial records LeAnne Adams.doc ...

Chapter 3 - Business Financial and Administrative Management ...

Chapter 3 - Business Financial and Administrative Management ...

Bake Sale Fundraiser Budget Worksheet / Worksheet - Twinkl

Bake Sale Fundraiser Budget Worksheet / Worksheet - Twinkl

Money Management, Budgeting, Credit & Debt PLR Bundle - Get ...

Money Management, Budgeting, Credit & Debt PLR Bundle - Get ...

Budgets & Financial Records

Budgets & Financial Records

Management Accounting Chapter 12 : Budgeting

Management Accounting Chapter 12 : Budgeting

Analysis of Financial Statements - Free Financial Analysis Guide

Analysis of Financial Statements - Free Financial Analysis Guide

9.3 Creating a Budget Summary Worksheet – Excel For Decision ...

9.3 Creating a Budget Summary Worksheet – Excel For Decision ...

Preparing financial projections and monitoring results ...

Preparing financial projections and monitoring results ...

How to Prepare Financial Statements from Adjusted Trial Balance Accounting  Principles

How to Prepare Financial Statements from Adjusted Trial Balance Accounting Principles

Ch8 Personal finance - Chapter 8 Budgets and Financial ...

Ch8 Personal finance - Chapter 8 Budgets and Financial ...

Financial Modeling in Excel (Step by Step + Free Template)

Financial Modeling in Excel (Step by Step + Free Template)

Chapter 8 Budgets and Financial Records - ppt download

Chapter 8 Budgets and Financial Records - ppt download

Chapter 8 Budgets and Financial Records - ppt download

Chapter 8 Budgets and Financial Records - ppt download

Basic Accounting - Financial Transaction Worksheet (Part 1)

Basic Accounting - Financial Transaction Worksheet (Part 1)

PDF) CHAPTER 1 ACCOUNTING INFORMATION SYSTEMS: AN OVERVIEW ...

PDF) CHAPTER 1 ACCOUNTING INFORMATION SYSTEMS: AN OVERVIEW ...

Chapter 3 - Business Financial and Administrative Management ...

Chapter 3 - Business Financial and Administrative Management ...

0 Response to "40 chapter 8 budgets and financial records worksheet answers"

Post a Comment

Iklan Atas Artikel

Iklan Tengah Artikel 1

Iklan Tengah Artikel 2

Iklan Bawah Artikel